MINTERROR NEWS.COMTM
Bringing the latest mint error news to the collector. Also featuring Die Trials, Patterns, Test Pieces, Numismatic Rarities, Currency Errors and Discoveries from the U.S. Mint.
news  •  features  •  discoveries
aboutcontactresourceshome
Article by:

Al Levy
alscoins.com
News

Off Center Errors

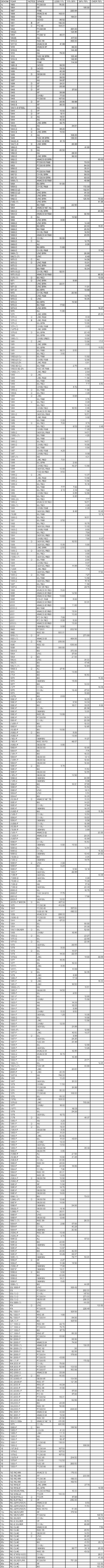
Below are records of recent sales of off-center mint errors on eBay.

1. All coins were listed on eBay and closed from 7/1/05 to 9/30/05.
2. All lots had buyers. Whether or not the coins actually changed hands is unknown.
3. Only eBay listings with photos are included. The photos verified the descriptions.
4. Mislabeled items were ignored.
5. Some lots may have changed hands more than once.
6. "D" next to the date symbolizes that the coin had damage or was scratched.
7. "C" next to the date symbolizes that the coin was cleaned.
8. "B" next to the date symbolizes that the coin had damage and was cleaned.
9. If the date or mintmark was missing or partially visible, I used parentheses to symbolize this.
10. Postage/handling/insurance fees were ignored.





Banner
blank
Banner
blank
Banner
blank
Banner
blank
Banner
blank
Banner
blank
Banner
blank
Banner
blank
Banner
blank
Banner
blank
Banner
blank
Banner
blank
Banner
blank
Banner
blank
Banner
blank
Banner
blank
Banner
blank
Banner
blank
Banner
blank
Banner
blank
Banner
blank
Banner
blank
Banner
Copyright Ⓒ 2005 minterrornews.com. All rights reserved. Legal notice.