MINTERROR NEWS.COMTM
Bringing the latest mint error news to the collector. Also featuring Die Trials, Patterns, Test Pieces, Numismatic Rarities, Currency Errors and Discoveries from the U.S. Mint.
news  •  features  •  discoveries
aboutcontactresourceshome
Article by:

Al Levy
alscoins.com
News

Presidential Dollar Mint Error Sales

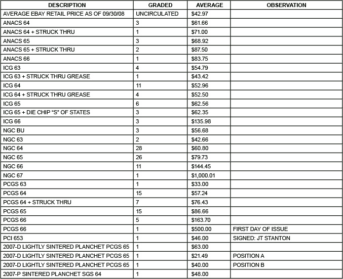
Here are records of recent sales of George Washington, John Adams, Thomas Jefferson, James Madison and James Monroe Presidential Dollar mint errors on eBay from July 1, 2008 to September 30, 2008.

1. ALL LOTS HAD BUYERS. IF THE COINS ACTUALLY CHANGED HANDS IS UNKNOWN.
2. A PICTURE ACCOMPANIED EACH LOT OR IT WAS NOT RECOGNIZED.
3. BLURRY PICTURES OR OTHER PROBLEMS ARE NOTATED UNDER “OBSERVATION”.
4. ITEMS MISLABELLED COMMANDED A SMALL PREMIUM.
5. SOME LOTS CHANGED HANDS MORE THAN ONCE.
6. ANY SCRATCHES, DENTS OR DEFECTS NOTATED WERE EITHER IN THE DESCRIPTION OR GRADING SERVICE'S HOLDERS.
7. AUCTION HOUSES THAT LISTED THESE ERRORS WERE IGNORED.
8. SHIPPING CHARGES ARE NOT INCLUDED.


George Washington Dollar Mint Error Sales:




John Adams Dollar Mint Error Sales:




Thomas Jefferson Dollar Mint Error Sales:




James Monroe Dollar Mint Error Sales:




Andrew Jackson Dollar Mint Error Sales:






Banner
blank
Banner
blank
Banner
blank
Banner
blank
Banner
blank
Banner
blank
Banner
blank
Banner
blank
Banner
blank
Banner
blank
Banner
blank
Banner
blank
Banner
blank
Banner
blank
Banner
blank
Banner
blank
Banner
blank
Banner
blank
Banner
blank
Banner
blank
Banner
blank
Banner
blank
Banner
Copyright Ⓒ 2008 minterrornews.com. All rights reserved. Legal notice.