MINTERROR NEWS.COMTM
Bringing the latest mint error news to the collector. Also featuring Die Trials, Patterns, Test Pieces, Numismatic Rarities, Currency Errors and Discoveries from the U.S. Mint.
news  •  features  •  discoveries
aboutcontactresourceshome
Article by:

Al Levy
alscoins.com
News

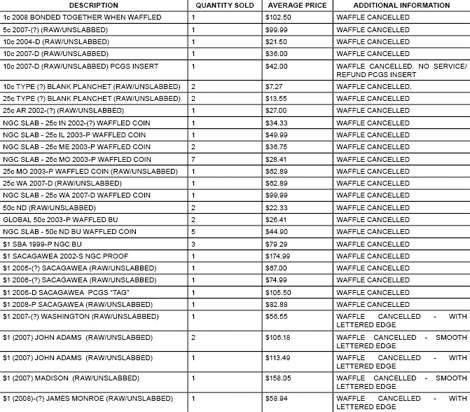
Waffled Coin Sales

WAFFLED COINS ARE THE MATERIAL DESTINED FOR RECYCLING BACK TO THE MANUFACTURER. THIS ALSO INCLUDES CONDEMNED COIN BINS OR FLOOR SWEPT MATERIAL. WAFFLED ERRORS BRING SUBSTANTIALLY HIGHER PRICES THAN ANY THAT SHOW NO ERROR. MANY OF THESE CENT THROUGH DOLLAR SLABBED WAFFLES ARE SHOWING UP AT THE MAJOR SHOWS AND EASILY TRADED.

THE US GOVERNMENT CLAIMS THESE ARE NOT COINS.






Banner
blank
Banner
blank
Banner
blank
Banner
blank
Banner
blank
Banner
blank
Banner
blank
Banner
blank
Banner
blank
Banner
blank
Banner
blank
Banner
blank
Banner
blank
Banner
blank
Banner
blank
Banner
blank
Banner
blank
Banner
blank
Banner
blank
Banner
blank
Banner
blank
Banner
blank
Banner
Copyright Ⓒ 2008 minterrornews.com. All rights reserved. Legal notice.