MINTERROR NEWS.COMTM
Bringing the latest mint error news to the collector. Also featuring Die Trials, Patterns, Test Pieces, Numismatic Rarities, Currency Errors and Discoveries from the U.S. Mint.
news  •  features  •  discoveries
aboutcontactresourceshome
Article by:

Al Levy
alscoins.com
News

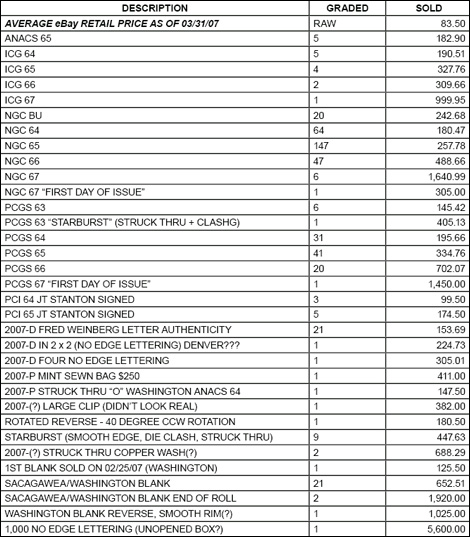
Washington Dollar Mint Errors Sales

Editor’s Note: These Washington Dollar “Missing Edge Lettering” mint errors have also been sold on the Home Shopping Network on four seperate occasions. The first three times HSN featured ICG certified MS 60 through MS 63 pieces and sold out at $399.00 each. On April 16th they featured ICG certified double error Washington Dollars with “Missing Edge Lettering” and “Struck Through Grease” that sold out at $599.00 each.







Banner
blank
Banner
blank
Banner
blank
Banner
blank
Banner
blank
Banner
blank
Banner
blank
Banner
blank
Banner
blank
Banner
blank
Banner
blank
Banner
blank
Banner
blank
Banner
blank
Banner
blank
Banner
blank
Banner
blank
Banner
blank
Banner
blank
Banner
blank
Banner
blank
Banner
blank
Banner
Copyright Ⓒ 2007 minterrornews.com. All rights reserved. Legal notice.