MINTERROR NEWS.COMTM
Bringing the latest mint error news to the collector. Also featuring Die Trials, Patterns, Test Pieces, Numismatic Rarities, Currency Errors and Discoveries from the U.S. Mint.
news  •  features  •  discoveries
aboutcontactresourceshome
Article by:

Al Levy
alscoins.com
News

Buffalo Nickel "Speared Bison" & Wisconsin Quarter "Extra Leaves"

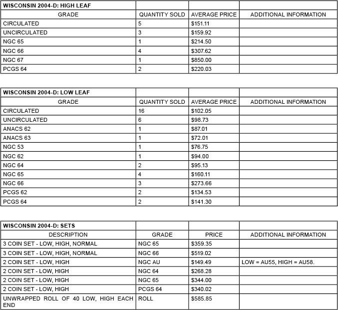
Last quarter I reported that the low and high leaf Wisconsin quarters were selling around the same price level. This quarter, prices have stayed steady. Still, hundreds of these listed remain unsold. The High Leafs are suppose to be the rarest. The price variance between the high and low are very close if sold raw. Note: Low Leaf raw coins. The uncirculated sold for less than the circulated. Someone got the idea to place a high and low on each side of a bank wrapped roll. Check out the price someone paid!


Here are records of recent sales on eBay from January 1, 2010 to March 31, 2010.

Buffalo Nickel Speared Bison




Wisconsin 25¢ Extra Leaves






Banner
blank
Banner
blank
Banner
blank
Banner
blank
Banner
blank
Banner
blank
Banner
blank
Banner
blank
Banner
blank
Banner
blank
Banner
blank
Banner
blank
Banner
blank
Banner
blank
Banner
blank
Banner
blank
Banner
blank
Banner
blank
Banner
blank
Banner
blank
Banner
blank
Banner
blank
Banner
Copyright Ⓒ 2010 minterrornews.com. All rights reserved. Legal notice.