MINTERROR NEWS.COMTM
Bringing the latest mint error news to the collector. Also featuring Die Trials, Patterns, Test Pieces, Numismatic Rarities, Currency Errors and Discoveries from the U.S. Mint.
news  •  features  •  discoveries
aboutcontactresourceshome
Article by:

Al Levy
alscoins.com
News

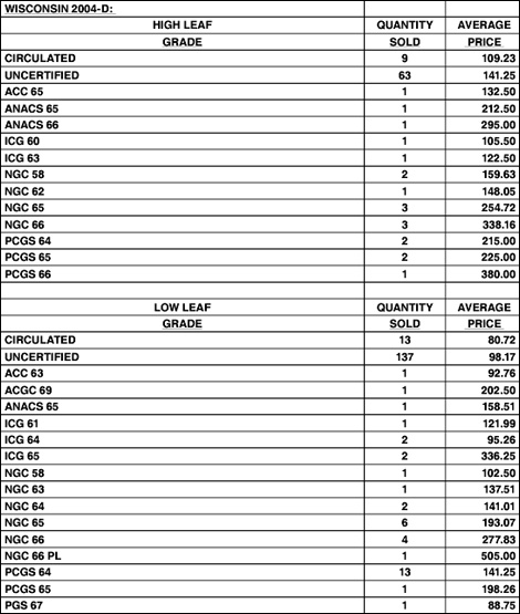
Buffalo Nickel "Speared Bison" & Winsonsin Quarter "Extra Leaves"

Below are records of recent sales of Buffalo Nickel "Speared Bison" and Winsonsin Quarter "Extra Leaves" mint errors on eBay.

1. ALL LOTS HAD BUYERS. IF THE COINS ACTUALLY CHANGED HANDS IS UNKNOWN.
2. A PICTURE ACCOMPANIED EACH LOT OR IT WAS NOT RECOGNIZED.
3. BLURRY PICTURES OR OTHER PROBLEMS ARE NOTATED UNDER “OBSERVATION”.
4. ITEMS MISLABELLED COMMANDED A SMALL PREMIUM.
5. SOME LOTS CHANGED HANDS MORE THAN ONCE.
6. ANY SCRATCHES, DENTS OR DEFECTS NOTATED WERE EITHER IN THE DESCRIPTION OR GRADING SERVICES’ HOLDERS.
7. AUCTION HOUSES THAT LISTED THESE ERRORS WERE IGNORED.
8. SHIPPING CHARGES ARE NOT INCLUDED.









Banner
blank
Banner
blank
Banner
blank
Banner
blank
Banner
blank
Banner
blank
Banner
blank
Banner
blank
Banner
blank
Banner
blank
Banner
blank
Banner
blank
Banner
blank
Banner
blank
Banner
blank
Banner
blank
Banner
blank
Banner
blank
Banner
blank
Banner
blank
Banner
blank
Banner
blank
Banner
Copyright Ⓒ 2005 minterrornews.com. All rights reserved. Legal notice.