MINTERROR NEWS.COMTM
Bringing the latest mint error news to the collector. Also featuring Die Trials, Patterns, Test Pieces, Numismatic Rarities, Currency Errors and Discoveries from the U.S. Mint.
news  •  features  •  discoveries
aboutcontactresourceshome
Article by:

Al Levy
alscoins.com
News

Waffled Coin Sales

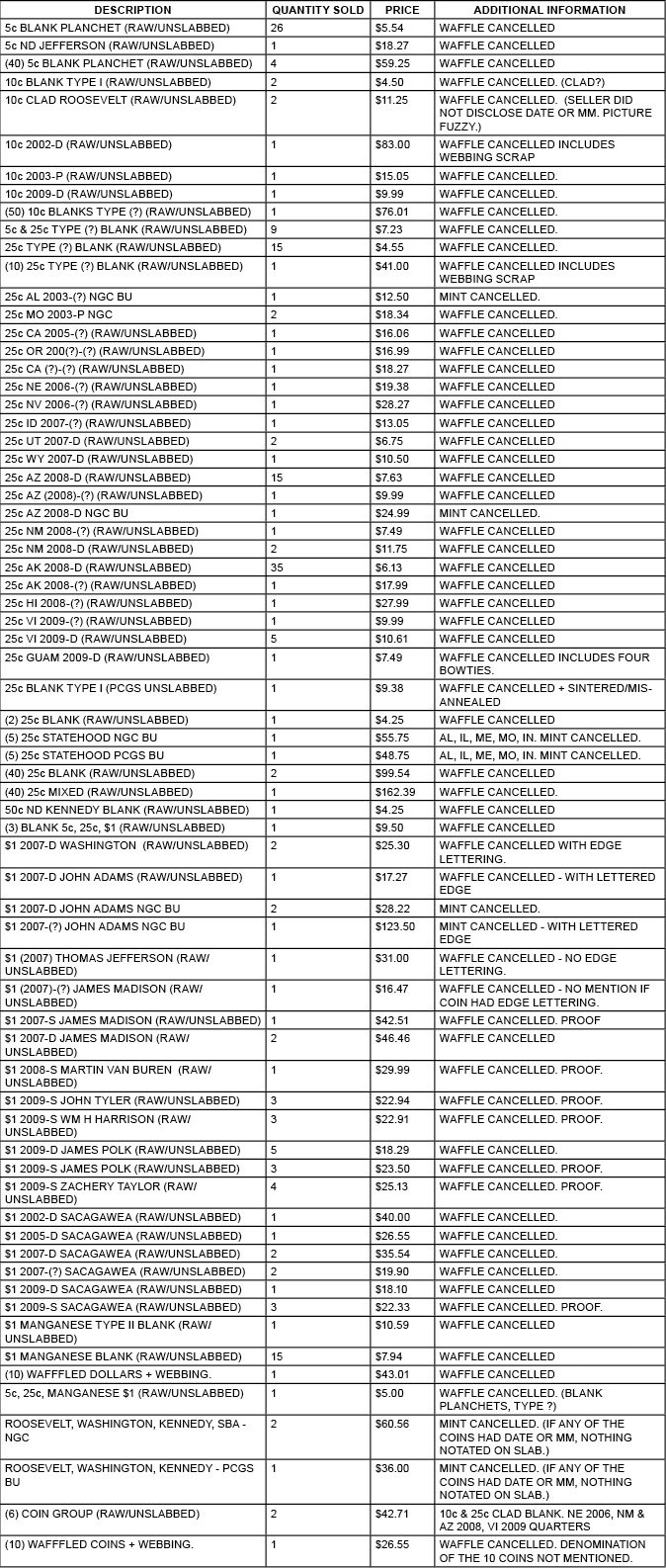
Waffled coins. These are a very interesting type. The grading services will body bag coins damaged or cleaned. However, if the Mint waffles them, they show up holdered an even graded. Now that more “bins” have been bypassing the smelters pot, prices have really been dropping. There are collectors trying to put together complete sets of the statehood quarters. The original slabbed coins had the insert state the coins were “Waffle Cancelled.” The newer slab inserts read “Mint Cancelled.”

Bins full of “Red Tanks Marked - Sweeps” became available on the market was previously reported. Looks like it came true. One reason there are so many of the “webbings” available. Bowtie scrap is being sold by the pound. Proof issues are starting to show up.

The U.S. Government claims these are not coins.


Here are records of recent sales on eBay from April 1, 2010 to June 30, 2010.






Banner
blank
Banner
blank
Banner
blank
Banner
blank
Banner
blank
Banner
blank
Banner
blank
Banner
blank
Banner
blank
Banner
blank
Banner
blank
Banner
blank
Banner
blank
Banner
blank
Banner
blank
Banner
blank
Banner
blank
Banner
blank
Banner
blank
Banner
blank
Banner
blank
Banner
blank
Banner
Copyright Ⓒ 2010 minterrornews.com. All rights reserved. Legal notice.